最好的电子音响科技diy制作网站

haoDIY_音响电子电脑科技DIY小制作发明

步进电位器級進音量控制器的設計與製作

时间:2012-09-16 17:48来源:www.diysong.com 作者:文山 点击:
級進音量控制器的設計與製作 by 文山 音響器材絕少不了音量控制器! 音量控制器通常是一個可變電阻,用電阻分壓電路將輸入訊號衰減下來,達到控制音 量的目的。 傳統的音量控制器通常是用碳膜或金屬皮膜電阻製作成片狀,以具有彈性的接觸片在 片狀電阻上滑動
級進音量控制器的設計與製作 by 文山

步进电位器級進音量控制器的設計與製作

步进电位器級進音量控制器的設計與製作



音響器材絕少不了音量控制器!

音量控制器通常是一個可變電阻,用電阻分壓電路將輸入訊號衰減下來,達到控制音
量的目的。


傳統的音量控制器通常是用碳膜或金屬皮膜電阻製作成片狀,以具有彈性的接觸片在
片狀電阻上滑動所構成。

如果是二聲道或四聲道的音響,便須要使用雙聯或四聯的聯動型可變電阻才行。
然而自古以來,聯動型可變電阻常有聯動的各個可變電阻分壓比例誤差很大,這種聯
動誤差會造成各聲道的音量大小不一致的問題!

為了解決各聲道的音量大小不一致的問題,以前的立體聲音響除了音量控制旋鈕之
外,還會加上一個聲道平衡控制旋鈕來解決這個問題。


傳統的音量控制可變電阻所以會發生分壓比例誤差很大,主要是製作技術的精密度上
的問題。由於人耳對於音量的大小相對於訊號電壓的大小,大致上是呈對數曲線的對
應關係,所以音量控制可變電阻必須使用對數型(A型)可變電阻,而不是線性(B
型)可變電阻。在製作上,兩片電阻片的阻值變化不容易控制到完全一致,而 且滑動
的接觸片的位置是否精確也是個問題!


另外,傳統的可變電阻還有接觸片在電阻片上滑動,造成電阻片磨損的問題!所以傳
統的可變電阻用久了,就算還可以使用,特性上也會變差。



級進音量控制器

基於傳統可變電阻的種種問題,使用開關來取代可變電阻,做為音量控制器是一個很
不錯的解決方案。畢竟開關接點的阻抗遠遠小於音量控制的分壓電路的阻抗,就算用
久了接點會有些磨損,也只是接點阻抗稍有變化而以,並不至於影響分壓電路的比
例。而且用精密的固定電阻做成分壓電路,每一級的分壓比例都可以很精確,完全解
決傳統可變電阻聯動誤差的問題。因此就有了級進音量控制器的產生。



通常級進音量控制器是以 23段旋轉式波段開關所構成。

步进电位器級進音量控制器的設計與製作

以其電阻的分壓方式,可分成串列型Serial Type、梯子型Ladder Type和分流型
Shunt Type。

串列型Serial Type的接法如下圖所示,將電阻一個一個串聯起來,是最簡單、最有
效率的一種方式。

步进电位器級進音量控制器的設計與製作

梯子型Ladder Type的接法如下圖所示,電阻的排列就像梯子一樣。

步进电位器級進音量控制器的設計與製作

然而,旋轉式波段開關的接點排列如下圖所示,

步进电位器級進音量控制器的設計與製作

由圖中可看出接點跟接點間難免會有些微的雜散電容存在,這些雜散電容對於串列型
Serial Type的接法的影響比對於梯子型Ladder Type的接法的影響來得大些,雖然
這一點點的雜散電容對音頻而言,可以說是幾乎沒有影響,但對於追求完美的人而
言,會覺得梯子型Ladder Type接法的音質比較好。


但梯子型Ladder Type接法的缺點為體積大,兩層聯動的開關只能做成一聲道的音量
控制器,要做成二聲道的音量控制器必須要使用四層聯動的開關。梯子型Ladder
Type接法所使用的電阻也必須比串列型Serial Type的電阻大好幾倍,譬如以
1/2W電阻做成的梯子型Ladder Type音量控制器,其承受功率只相當於用 1/8W電
阻做成的串列型Serial Type音量控制器。


分流型Shunt Type的接法如下圖所示,

步进电位器級進音量控制器的設計與製作

分流型Shunt Type的接法雖然體積小,接點間雜散電容的影響也小,但從輸入端看
進來,輸入阻抗會隨著波段開關的轉動而大幅變動,這是分流型Shunt Type接法的
重大缺點!


梯子型Ladder Type的錯誤接法


下面這個圖是梯子型Ladder Type級進音量電位器的正確接法,

步进电位器級進音量控制器的設計與製作

但很多人為了銲接電阻上的方便,將梯子型Ladder Type級進音量電位器的電路接成
下面這個圖,

步进电位器級進音量控制器的設計與製作


其中的差異在於前一種接法靠近輸入端的分壓電阻跨在兩個連動開關之間,和靠近
GND 的分壓電阻直接連在一起,這種接法必須將電阻擠進兩層連動開關之間,若電
阻大一點便擠不進去!


另一種接法靠近輸入端的分壓電阻直接跟輸入端接在一起,不用將電阻擠進兩層兩個
連動開關之間,銲接電阻比較方便,但開關接點會有「彈跳」現象(Bounce),萬一
靠近 GND 的接點因為「彈跳」現象而斷開,但靠近輸入端的接點卻連在一起,分壓
電路便在這個瞬間呈現最大輸出的狀態!如此會造成在旋轉級進音量電位器時產生
「爆音」。


當然有人會說他用這種接法並沒有產生「爆音」,這是運氣好壞的問題!畢竟每一個
開關、每一個接點的「彈跳」現象(Bounce)會有些差異,甚至在測接點的「彈跳」
現象時,同一個接點每一次測出來的「彈跳」現象也會不同!因此運氣好的就沒有
「爆音」的問題,運氣不好的就………


同樣的,下面這個圖是分流型Shunt Type級進音量電位器的正確接法,

步进电位器級進音量控制器的設計與製作

下面這個圖是分流型Shunt Type級進音量電位器的錯誤接法,同樣會造成在旋轉級
進音量電位器時產生「爆音」。

步进电位器級進音量控制器的設計與製作


導線的反射電壓


用波段開關來設計級進音量控制器還有一個問題必須加以解決,那就是導線的反射電
壓!


什麼是導線的反射電壓呢?由於任何導線都會有電感量存在,而波段開關就算是先接
後斷式的設計,還是會因為「彈跳」現象而使接點在一瞬間呈現斷路的狀態,如果導
線中有電流流動而瞬間發生接點斷開的話,導線會因為電感的作用產生很大的反射電
壓,就好像汽車的點火線圈利用白金接點來產生可以讓火星塞放電的高電壓的原理一
樣!這種現象也會讓級進音量控制器在轉動時發生雜音,如果級進音量控制器有直流
電流流過,這種現象會更明顯。這個問題對於梯子型Ladder Type接法會比串列型
Serial Type接法來得嚴重!


另外,級進音量控制器之後如果沒有經過交連電容,直接接到放大器的輸入端,當開
關接點瞬間斷開、導線的端點呈現浮接Floating的狀態時,放大器輸入的Offset電
壓、電流也會瞬間變動,因此也會產生雜音。


要解決這一類問題,必須讓接點瞬間斷開時,導線的端點不會呈現浮接Floating的狀
態,因此我將梯子型Ladder Type接法改成輸入與輸出端點即使在接點瞬間斷開時,
仍然有電阻將輸入與輸出端點與接地點連接,電路如下圖所示:

步进电位器級進音量控制器的設計與製作


上圖的梯子型Ladder Type接法,R47為防止輸入導線浮接Floating而並聯上去的
電阻,為了避免大幅影響音量電位器的標稱值,阻值設定在音量電位器標稱值的十
倍。而為了防止輸出導線浮接Floating,音量電位器的輸出端直接跟Rout的最後一
個電阻R46相連,因此波段開關除了第23段之外,轉到其他的位置時,那個位置的電
阻都會跟R46並聯。


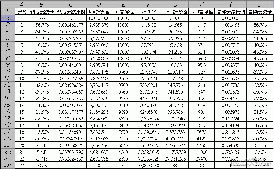
分壓電阻的計算

我是用Microsoft Excel來做分壓電阻的計算,計算的圖表如下:

步进电位器級進音量控制器的設計與製作

上圖所計算的是10K梯子型Ladder Type接法的分壓電阻阻值。電路圖如下:

步进电位器級進音量控制器的設計與製作

下圖是10K串列型Serial Type接法的分壓電阻阻值計算結果和電路圖:

步进电位器級進音量控制器的設計與製作


步进电位器級進音量控制器的設計與製作
100K的級進音量控制器每個電阻的電阻值為10K的級進音量控制器電阻值的十倍。


級進音量控制器的裝配

為了製作級進音量控制器,我訂製了一批1/2W±1%的金屬皮膜電阻給梯子型
Ladder Type級進音量電位器使用,串列型Serial Type級進音量電位器則是使用
1/8W±1%的金屬皮膜電阻。


我也跟工廠訂製了一批級進音量旋轉開關,製作成兩層連動開關的接點距離較寬的方
式,寬度可以擠進一般的 1/2W 電阻。


開關的旋柄為KQ Shape俗稱18齒的旋柄,這種形狀的柄也可以使用用螺絲鎖的旋
鈕,大不了用銼刀將齒跟螺絲接觸的地方磨一磨即可。


市面上大部分的波段開關跟可變電阻都是這種旋柄,所以這種18齒的旋鈕也很多,反
而圓柱型的旋柄無法使用18齒的旋鈕,因此我訂製的是18齒的旋柄,可以配合各種
旋鈕。柄長是23mm,如果太長可以鋸短一點。


步进电位器級進音量控制器的設計與製作

我嘗試了幾種級進音量控制器的裝配方式,研究怎麼焊接裝配比較理想。


步进电位器級進音量控制器的設計與製作
上圖這種裝配方式由於1/2W的電阻太長,並不理想。


步进电位器級進音量控制器的設計與製作

上圖這種裝配方式蠻容易焊接,建議各位採用,只是體積大了一點,比較佔空間。


由於梯子型Ladder Type級進音量電位器被炒作得很熱,所以我先來介紹梯子型
Ladder Type級進音量電位器的裝配。


裝配前先搞清楚23段旋轉式波段開關每一段的位置,
步进电位器級進音量控制器的設計與製作


上圖中23段旋轉式波段開關卻有24個接點位置,由於機構設計上的限制,編號第24的接點位置是接觸不到的接點。編號第1到第23的接點則對應電路圖中波段開關的接點編號。

下表為梯子型Ladder Type和串列型Serial Type級進音量電位器電阻值列表,因為
電阻焊接時必須依序焊接才不容易出錯,所以裝配前最好使用電表歐姆檔測量,將電
阻分辨排列清楚,光看電阻的色碼容易誤判。

步进电位器級進音量控制器的設計與製作

步进电位器級進音量控制器的設計與製作


電路圖中的Rin要先銲在兩層連動開關之間,按照位置編號依序焊接上去。步进电位器級進音量控制器的設計與製作


編號第1的接點位置由於兩層連動開關之間有波段開關共同端的銲片阻擋,所以將位
置1的電阻銲在位置第24之後,再用剪下來的電阻引腳當成跳線,將位置24的接點跟位置1的接點連接在一起。

步进电位器級進音量控制器的設計與製作


Rin在編號23的位置上並沒有電阻,而是以跳線短路起來。 (责任编辑:admin)
织梦二维码生成器
顶一下
(9)
69.2%
踩一下
(4)
30.8%
相关文章
------分隔线----------------------------
发表评论
请自觉遵守互联网相关的政策法规,严禁发布色情、暴力、反动的言论。
评价:
表情:
用户名: 验证码:点击我更换图片
栏目列表
推荐内容